A short story of how the study came to be.
HOW IT ALL BEGAN
In August, we ran a second pilot study with 50 participants, refining the process and eliminating errors—ensuring we were fully prepared for Sri Lanka.

DEC2022
How IT BEGAN
During a trip to Sri Lanka, Joseph, co-founder of MFF, was amazed by the locals' exceptional foot health and lifelong mobility. This stark contrast to Western norms ignited his passion for uncovering the reasons behind it, leading to the study.

JAN2023
SETTING THE BLUEPRINTS
During a meeting with Gourgen, co-founder of MFF, they found themselves swiftly pitching their idea to the Wyde Footwear team, recognizing their crucial involvement. This marked the birth of the study, with the team promptly setting about structuring the budget and study protocol.

MAR2023
PILOT STUDY
Understanding the obstacles ahead, we embarked on constructing the questionnaire, a pivotal component of the study. Teaming up with Volumental, who provided the 3D scanner alongside our plantar pressure plate, we invited 100 individuals to our Göteborg studio for our inaugural pilot study.

AUG2023
PILOT STUDY 2.0
In August, we ran a second pilot study with 50 participants, refining the process and eliminating errors—ensuring we were fully prepared for Sri Lanka.

NOV2023
WEEK ONE
Week one started strong, studying an entire hotel staff of 50, but quickly took a downturn. Shoe stores turned us away, citing "manager approval", and days of trekking in 35+°C heat led to constant rejection. The study’s future looked uncertain.

NOV2023
WEEK TWO-THREE
In need of comfort, we set out for ice cream, trusting in its healing powers—only to find the shop closed after an hour-long trek. Desperate, Melker looked to the sky in silent prayer. Just then, a man in a tuk-tuk appeared, confidently stating, "I will help." True to his word, the next day, we successfully studied his entire neighborhood of over 100 people.
Some small discoveries found so far!
WHAT WE FOUND SO FAR

IMPACT OF FOOTWEAR ON FOOT SHAPE & FUNCTION:
The study revealed a significant correlation between footwear usage and foot shape deformities, particularly focusing on Hallux Valgus Angles (HVA). Participants who predominantly wore shoes or closed-toe box sandals exhibited higher HVA values compared to those who were predominantly barefoot or wore open-toe sandals. This highlights the influence of footwear on toe alignment and foot health over time.

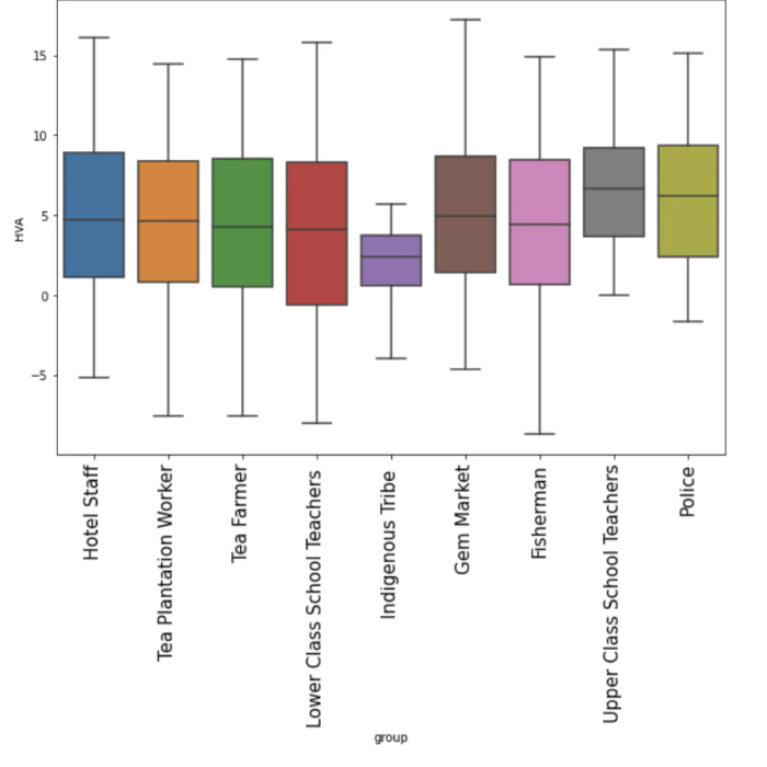
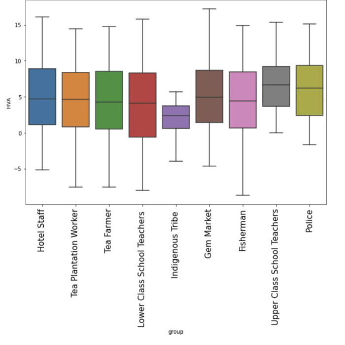
SOCIOECONOMIC INFLUENCE ON FOOT HEALTH:
Observations based on participants' professions and socioeconomic status unveiled interesting trends in foot health. Individuals with obligatory requirements for wearing formal shoes, such as upper-class school teachers and police officers, exhibited higher HVA values on average compared to those who were predominantly barefoot or wore flip-flops. Additionally, indigenous tribes displayed significantly lower HVA values compared to other groups, suggesting a potential link between footwear habits and foot health disparities.

ROLE OF SHOE_WEARING FREQUENCY IN FOOT DEFORMITIES:
Analyzing shoe-wearing frequency revealed compelling insights into foot shape variations. Participants who wore shoes more frequently throughout the week exhibited higher HVA values, indicating a higher prevalence of misaligned toes. Conversely, elderly individuals who transitioned from barefoot lifestyles to wearing shoes later in life displayed better foot shape compared to those who wore shoes from an early age. This underscores the importance of wearing shoes that accommodate the natural shape of the foot to maintain optimal foot health and alignment.
THIS RESEARCH

COULD CHANGE THE WORLD!

We’re deeply grateful to everyone who made this research possible. Now, we’re committed to publishing it, ensuring every effort counts. Stay tuned!
FAQs
What is The Shoe Effect?
The Shoe Effect is a groundbreaking study by My Foot Function and Wyde Footwear, exploring how footwear impacts foot health, mobility, and overall function. It is the largest study ever conducted on a single ethnic group, focusing on real-world foot behavior rather than genetic assumptions.
What was the purpose of the study?
The study aimed to understand the true effects of footwear on foot shape, strength, and health over time. Unlike previous research comparing different ethnic groups, this study focused on environmental and lifestyle factors that influence foot function.
Where was the study conducted?
The research took place in Sri Lanka, where we examined over 1,000 individuals, analyzing how footwear choices and barefoot lifestyles affect foot health.
What were the key findings?
The study revealed that individuals who regularly wear closed-toe shoes tend to have higher levels of foot deformities compared to those who spend most of their time barefoot or in minimal footwear.
How does The Shoe Effect impact footwear choices?
The findings emphasize the importance of choosing shoes that allow natural foot movement and don’t restrict toe splay. Our goal is to educate people on better footwear choices for long-term foot health.
How was the data collected?
We used 3D foot scanning, plantar pressure analysis, and detailed questionnaires to gather comprehensive data on foot structure, alignment, and health.
What makes this study different from previous foot health research?
Unlike previous studies that often credited foot deformities to genetics, The Shoe Effect provides evidence-based insights into how lifestyle and footwear habits shape foot function over time.
Will there be follow-up studies?
Yes! We are continuously researching footwear, movement, and foot function, with a new study planned for 2026 to expand on these findings.
How does this research influence My Foot Function’s products and education?
The insights from The Shoe Effect directly shape our approach to education, footwear recommendations, and product development, ensuring that everything we offer is backed by real-world data and scientific findings.


